
Accelerate discoveries forward with increased flexibility to deliver faster throughput, deeper coverage, higher sensitivity, and accurate and precise quantitation across more applications. The Thermo Scientific Orbitrap Astral Zoom Mass Spectrometer is designed to explore more molecular space to achieve the next generation of breakthroughs in Omics and Biopharma research with faster scan rates, improved sensitivity, novel acquisition methods including hybrid DIA and TMT HR mode, and greater flexibility. Turn ideas into discoveries to advance science exponentially and drive clinical research forward into interventions that improve outcomes.
Thermo Scientific Orbitrap Astral Zoom Mass Spectrometer.
The Thermo Scientific Orbitrap Astral Zoom Mass Spectrometer is designed to achieve the next generation of breakthroughs with upgraded hardware and software capabilities to deliver increased flexibility, faster throughput, deeper coverage, higher sensitivity, and accurate and precise quantitation. Leverage the benefits of parallelized acquisition with two high-resolution accurate mass analyzers (HRAM) enabled by the unique instrument architecture of the platform featuring the Orbitrap and Astral analyzers.
Thermo Scientific Orbitrap Astral Zoom Mass Spectrometer: Orbitrap Astral Zoom Mass Spectrometer architecture.
The Orbitrap Astral Zoom Mass Spectrometer features additional automatic gain controlled (AGC) parallelization of injection time before the quadrupole through the addition of the fast ion filter and bent trap. This pre-accumulation provides longer effective injection times without a loss in duty cycle, increasing the number of ions by up to 50% per scan and enabling the acquisition of high-quality analytical spectra at scan rates up to 270 Hz.
Thermo Scientific Orbitrap Astral Zoom Mass Spectrometer.
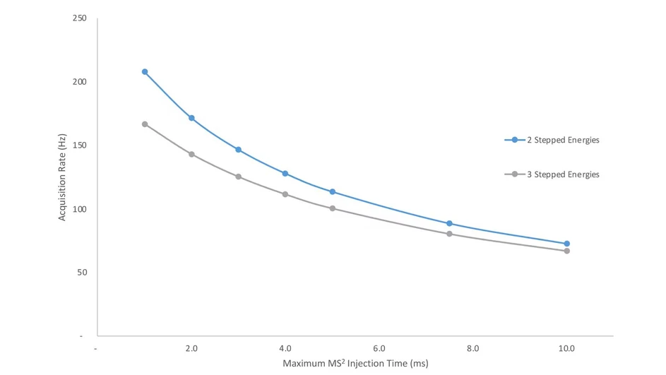
The addition of an axial voltage gradient in the ion routing multipole on the Orbitrap Astral Zoom Mass Spectrometer provides significant improvements in the acquisition rate of Astral analyzer MS2 spectra using two or three stepped collision energies.
Thermo Scientific Orbitrap Astral Zoom Mass Spectrometer.
Significant improvements in Orbitrap analyzer dynamic range can be achieved with the enhanced dynamic range (eDR) mode on the Orbitrap Astral Zoom Mass Spectrometer. Customizable parameters allow for the selective filling of ions for Orbitrap analyzer full scans, increasing the signal-to-noise of peaks and providing panoramic spectra that can improve full MS-based data analysis or be paired with data-dependent acquisition experiments to provide more precursors for fragmentation.
Thermo Scientific Orbitrap Astral Zoom Mass Spectrometer.
Modification of the Astral analyzer with the addition of the relay prism enables measurements with a higher resolution of over 100,000 at m/z 138, unlocking higher multiplexing with Thermo Scientific TMTpro 32plex Reagent experiments to increase throughput.
Thermo Scientific Orbitrap Astral Zoom Mass Spectrometer.
Increase the performance for samples that require higher sensitivity through modifications to the Astral analyzer high dynamic range detector. The toggleable low-input mode increases the probability of detecting single ions by 10%, increasing the peak area of single ions by 73% to provide higher sensitivity and improved performance.
Thermo Scientific Orbitrap Astral Zoom Mass Spectrometer.
Apply intelligent data acquisition to perform both targeted and untargeted analysis on samples in a single injection with Hybrid DIA using the Orbitrap Astral Zoom Mass Spectrometer. With Hybrid DIA, increased sensitivity and quantitative performance can be achieved with intelligent triggering of targeted Astral analyzer MS2 scans for analytes of interest in tandem with a data-independent acquisition (DIA) experiment in a single injection.
Thermo Scientific Orbitrap Astral Zoom Mass Spectrometer.
The Orbitrap Astral Zoom Mass Spectrometer Biopharma option extends the mass range for Orbitrap analyzer measurements to m/z 40-8000, enables improved pressure regulation, and provides support for Astral analyzer top-down and middle-down MS2 data acquisition.
Thermo Scientific Orbitrap Astral Zoom Mass Spectrometer.
Shared instrument control software with all next generation Thermo Scientific Mass Spectrometer platforms improves ease-of-use across systems and reduces training time. An extensive set of application specific method templates included with the method editor enables rapid method deployment to generate meaningful results faster.
With a dry vacuum pump energy consumption and heat output is reduced. The use of a dry pump also eliminates oil vapors and the need for oil checks and changes, lowering maintenance time and effort.
Thermo Scientific Orbitrap Astral Zoom Mass Spectrometer.
The updated instrument architecture of the Thermo Scientific Orbitrap Astral Zoom Mass Spectrometer advances performance across multiple applications through new and improved features.
Increase proteomics throughput, depth, and sensitivity for samples from single cells to plasma with the Orbitrap Astral Zoom Mass Spectrometer. Unlock additional capabilities for immunopeptidomics and spatial proteomics with faster stepped collision energy and higher sensitivity to more confidently and comprehensively characterize samples.
The Orbitrap Astral Zoom Mass Spectrometer features pre-accumulation of ions in the bent trap, improving effective ion injection times and enabling higher scan rates of up to 270 Hz. These features combine to deliver a significant increase in performance for high throughput analyses, including the measurement of 300 samples per day – an analysis time of just 4.8 minutes from sample injection to sample injection.
Comparison of Thermo Scientific Orbitrap Astral Mass Spectrometer and Orbitrap Astral Zoom Mass Spectrometer performance for high throughput proteomics experiments run at 180 samples per day (SPD) or 300 SPD. The Orbitrap Astral Zoom MS delivers deeper coverage at the same throughput or similar proteome depth as the Oribtrap Astral MS at nearly double the throughput.
Thermo Scientific Orbitrap Astral Zoom Mass Spectrometer.
Increase the depth of proteome coverage through improved ion utilization and scan rates to analyze more proteins of interest, expanding the scope of biomarker discovery.
Nearly double the number of identified plasma proteins with 10 times the protein sequencing speed with the Orbitrap Astral Zoom MS. Data courtesy of Yu-Ju Chen, Academia Sinica.
Thermo Scientific Orbitrap Astral Zoom Mass Spectrometer.
The Orbitrap Astral Zoom Mass Spectrometer features an improved duty cycle from pre-accumulation and higher sensitivity using low-input mode, enhancing performance for applications including single-cell proteomics, immunopeptidomics, and spatial protoemics that require the highest sensitivity measurements. Leverage the modified Astral analyzer with the increased resolution of TMT HR mode to dramatically increase throughput with multiplexing to measure thousands of single cells in a single day.
The higher sensitivity of the Orbitrap Astral Zoom MS provides an increased depth of coverage and improved reproducibility for low-input samples, with over 6,700 proteins identified from 250 pg of Pierce HeLa Protein Digest Standard and median protein CV values of 6% even at 50 pg loads from three replicate injections.
Thermo Scientific Orbitrap Astral Zoom Mass Spectrometer.
The analysis of single HEK293F cells with the Orbitrap Astral Zoom MS identifies an average of 5,842 proteins across 24 individual single-cell analyses with excellent consistency from each single-cell injection, unlocking additional biological insights.
Thermo Scientific Orbitrap Astral Zoom Mass Spectrometer.
Extend the dynamic range of quantitation with improved sensitivity and ion statistics to deliver superior quantitative accuracy and precision for sample inputs spanning picograms to micrograms using label-free quantitation with data-independent acquisition (LFQ-DIA) or labeling workflows, including higher multiplex relative quantitation with Thermo Scientific TMTpro 35-plex Label Reagents.
Samples with known ratios of Human, Yeast, and E. coli were prepared with dilutions down to 100 pg and then analyzed with the Orbitrap Astral Zoom MS. Across the high quantitative dynamic range of sample inputs from 100 pg to 500 ng, the Orbitrap Astral Zoom MS demonstrates accurate and precise quantitation.
Thermo Scientific Orbitrap Astral Zoom Mass Spectrometer.
Spatial proteomics techniques, like deep visual proteomics, enable spatially resolved analyses of samples from very low amounts of cells or tissues. The higher sensitivity of the Orbitrap Astral Zoom Mass Spectrometer combined with these methodologies enables deeper insights from these lower input samples to determine the localization and differential expression of proteins.
With higher sensitivity and enhanced capabilities including faster stepped collision energy, the Orbitrap Astral Zoom Mass Spectrometer provides higher throughput, deeper coverage, and higher sensitivity to provide high quality data across the dynamic range of sample inputs for immunopeptidomics analyses. With full spectrum fragmentation data collected in either data-dependent or data-independent experiments, confidently annotate peptide sequences with comprehensive fragmentation coverage.
With enhanced capabilities including faster stepped collision energy and the Biopharma option to enable Astral analyzer MS2 measurements for top-down and middle-down analyses, the Orbitrap Astral Zoom MS extends the addressable experimental space and significantly improves the performance for many applications.
Analysis of enriched mouse brain with either stepped normalized collision energies of 25 and 35 or a fixed normalized collision energy of 35 using the Orbitrap Astral Zoom mass spectrometer operated in data- dependent acquisition (DDA) mode. While stepped and fixed collision energy methods identify a similar number of glycosites and unique glycopeptides, the stepped collision energy method provides a higher identification to more confidently characterize post-translationally modified peptides. Data courtesy of Joshua Coon, University of Wisconsin–Madison.
Thermo Scientific Orbitrap Astral Zoom Mass Spectrometer.
The parallelization of the Orbitrap and Astral analyzers in the Orbitrap Astral Zoom Mass Spectrometer enables the simultaneous acquisition of panoramic high-resolution accurate mass full scan and comprehensive fragmentation data from a single injection. This synergistic combination enables optimized acquisition strategies to maximize the information from each injection, providing deeper insights into samples.
Gain a deeper understanding of biological systems in a single experimental injection. Measure both a list of hypothesis-driven targets and untargeted discovery data simultaneously with depth, accuracy, and precision.
Thermo Scientific Orbitrap Astral Zoom Mass Spectrometer.
The Orbitrap Astral Zoom Mass Spectrometer can detect an increased number of compounds from Orbitrap analyzer full scan data through increased sensitivity and use of the enhanced dynamic range (eDR) mode. At the same time, fast and sensitive HRAM data is collected in the Astral analyzer to provide comprehensive fragmentation data from both data-dependent untargeted and targeted methods in a single injection.
NIST SRM 1950 plasma sample analysis using a SQUAD workflow on the Orbitrap Astral Zoom MS provides an increased depth of compound detection from Orbitrap analyzer full scans and increased MS2 coverage with parallelized Astral analyzer scans in the untargeted data analysis while collecting targeted quantitation data for analytes of interest in a single injection.
Thermo Scientific Orbitrap Astral Zoom Mass Spectrometer.
The parallelized acquisition of Orbitrap and Astral analyzer data with the Orbitrap Astral Zoom MS is ideal for use with SQUAD workflows. In particular, the high speed and sensitivity of the Astral analyzer enables the acquisition of both comprehensive untargeted data-dependent MS2 fragmentation of compounds and targeted MS2 data in a single injection.
Acquisition of targeted data on analytes of interest within a SQUAD workflow on NIST SRM 1950 extract enables a linear quantitative dynamic range of 7 orders of magnitude, with a lower limit of quantitation of 0.1 femtomole on column in parallel with untargeted data collection using a single injection.
Thermo Scientific Orbitrap Astral Zoom Mass Spectrometer.
The annotation of unknown compounds remains a significant challenge in untargeted small molecule analyses. With the Orbitrap Astral Zoom Mass Spectrometer, the high resolution and mass accuracy of the Orbitrap analyzer full scan measurements provide confident formula assignment, including the use of fine isotopic patterns. In tandem, the Astral analyzer delivers comprehensive fragmentation of over 90% of compounds in a single injection, enabling structural annotation through matching to spectral libraries, substructure and neutral loss classification, in silico prediction and matching, and formula assignment. The fragmentation capabilities of the Orbitrap Astral Zoom MS have been enhanced through the implementation of faster stepped collision energy, allowing for the use of not only one fixed fragmentation energy but also two or three stepped fragmentation energies at acquisition rates over 200 Hz. This use of multiple energies can produce additional diagnostic fragment ions for more confident compound annotation.
Thermo Scientific Orbitrap Astral Zoom Mass Spectrometer: Comparison of the fragmentation of Naringin from a tea sample using a fixed single normalized collision energy (NCE) or stepped NCE with three energies demonstrating an improved spectral library matching to mzCloud score through the matching of additional fragment ions.
The Orbitrap Astral Zoom Mass Spectrometer empowers the analysis of proteins and protein complexes in their native biological state, enabling the study of molecular structures and dynamics. The improved capabilities of the Orbitrap Astral Zoom Mass Spectrometer, including faster stepped collision energy and enhanced Biopharma option for intact, top-down, and middle-down analysis, provide performance benefits for structural biology experiments.
Analysis of DSSO-crosslinked E. coli ribosome proteins showing increases in crosslink identifications by 113% and crosslink spectrum matches (CSMs) by 369% versus Orbitrap-Orbitrap acquisition. The significant performance improvements with the Orbitrap Astral Zoom Mass Spectrometer provide more comprehensive structural biology insights into protein-protein interactions.
Thermo Scientific Orbitrap Astral Zoom Mass Spectrometer.
The Orbitrap Astral Zoom Mass Spectrometer delivers faster throughput for multiple biopharma workflows. The fast and sensitive quantitative analysis of host-cell proteins can be performed with data-independent acquisition experiments at rates of up to hundreds of samples per day. The enhanced biopharma option of the Orbitrap Astral Zoom MS also includes support for the top-down and middle-down analysis of samples with the parallelized acquisition of intact data in the Orbitrap analyzer and fragmentation data in the Astral analyzer, enabling the rapid collection of both intact mass and sequence specific information.
Thermo Scientific Orbitrap Astral Zoom Mass Spectrometer: Top-down analysis of a protein standard mixture with the Orbitrap Astral Zoom Mass Spectrometer using parallelized acquisition in the Orbitrap analyzer for intact analysis and Astral analyzer for MS2 fragmentation analysis.


